Thinking about your will and trust can be overwhelming, but having the right forms can make the process easier. Free printable will and trust forms are a convenient way to start planning for the future.
These forms provide a basic framework for outlining your wishes regarding your assets and beneficiaries. They can help you organize your thoughts and communicate your intentions clearly and legally.
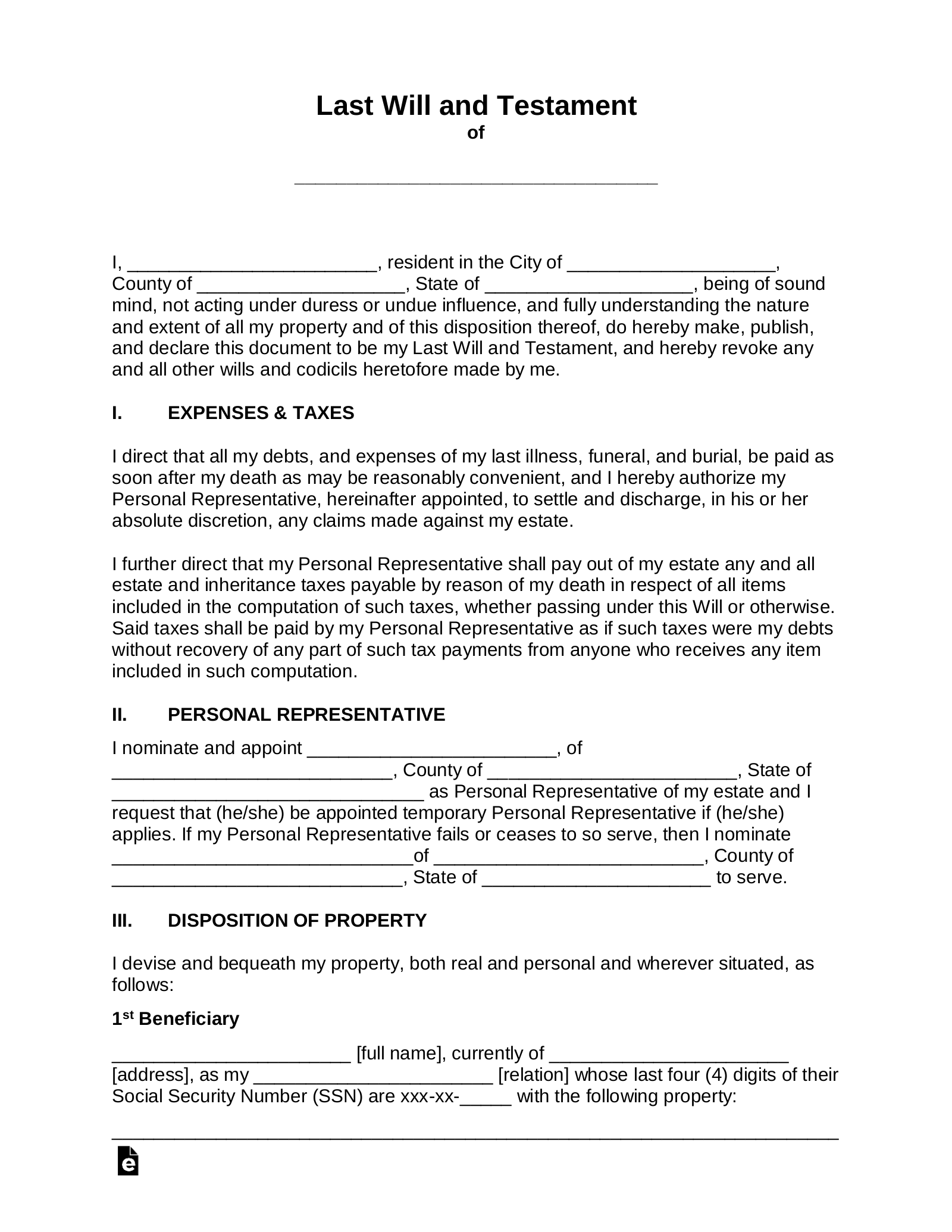
Free Printable Will And Trust Forms
Free Printable Will And Trust Forms
Whether you’re just starting to plan your estate or need to update your existing documents, free printable will and trust forms can be a valuable resource. They cover key aspects such as naming an executor, distributing assets, and appointing guardians for minors.
By using these forms, you can ensure that your wishes are documented and legally binding. It’s important to review and update your will and trust regularly, especially after major life events such as marriage, divorce, or the birth of children.
While free printable will and trust forms can be a good starting point, it’s recommended to consult with a legal professional to ensure that your documents comply with state laws and accurately reflect your intentions. An attorney can provide personalized advice and help you navigate any complex legal issues.
Remember, planning your will and trust is an important part of taking care of your loved ones and ensuring that your assets are distributed according to your wishes. Free printable forms can be a helpful tool in this process, but professional guidance is always recommended for peace of mind.
Start exploring free printable will and trust forms today to begin the process of planning for your future and protecting your loved ones. Remember, it’s never too early to start thinking about your legacy and putting your affairs in order.
Free Last Will And Testament Will PDF Word EForms
Free Living Trust Form Revocable PDF Word EForms


